中国空间站梦天实验舱发射升空感赋
编辑:缅华网
文章类型:散文诗集
发布于2022-11-03 15:30:00
共3370人阅读
文章导读
中国空间站梦天实验舱发射升空感赋

文/德光
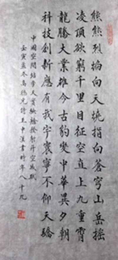
熊熊烈焰向天烧,
指向苍穹山岳摇。
凌顶欲穷千里目,
征空直上九重霄。
龙腾大业雄今古,
豹变中华异夕朝。
科技创新应有我,
宇寰宁不仰天骄。
书法
一》香港王中汉(一厘米小楷)
二》香港王中汉(二厘米小楷)
三》杨水声
四》阮毓明
五》周永腾
六》茂松
七》尤肖松
八》练子明
九》黄伟华
十》阮伟生











0
0
下一篇:
花开花谢(钟纯芳)
评论列表 共有 0 条评论
最新导读

热门文章




发表评论 取消回复