神州大地数学考题,本地学生无人能解?
缅华网 伊江树报导
金塔古国高考发榜日,神州大地高考进行时。
由于今年缅甸高考发榜的日子,恰逢中国大陆高考举行的日子,所以这里一些“好事”的人士,在评论本地今年高考成绩的长短时,也不断注视着神州大地高考进行的情况。今年神州大地高考生再次过千万,但高考录取率已提高到80%以上,高考学生不用担心考不上大学,而是担心考不上“好大学”,这情况与四十年前重新恢复高考时的“千军万马过独木桥”的情况相比已有天涯之别。
由网路上得知,今年中国高考的四大门科目中,最受争议的学科就是数学学科了。据说今年数学学科的难度超出了许多人的想象,许多考生叫苦连天。还有这么一句话在网上流传:“年年都说高考数学是换汤不换药,今年直接连碗都换掉了。”
今年中国高考数学题目难度特大的问题,也引起了朋友L老师的注意。他虽然不懂中文,但还是在旁人帮助下,进入有关网站,下载了今年中国高考的一些数学考题,之后就来找我商量研究了。
“都说中国人数学强,我看这确实是真的。这普通高考题在我们看来都好像是世界奥数的题目了。有人说这数学科考试不只是在选拔优秀学生,简直可以说是在寻找新世纪的华罗庚式的人才了。”L老师这样说道。
这未免言过其实了吧,我想。“其实中国的基础教育是12年制,与缅甸的10年制相比当然是有一定距离的。但我想一些考题这里的师生们还是能够解答的了,只是因为还不熟悉那儿的考题题型变化情况,所以才感到难度大,解起来吃力,甚至认为是天书般的难题。”我说道。
L 老师摇摇头,说:“不,我们这里差得太远了。这是我从网上下载下来的一些题目,你看看吧。”说着就递给了我一张纸张,上面有他下载下来的几道今年中国高考的数学考题。
我看了一下这几道题目,觉得有些题目以这里的学生程度来解的话应该还是可以解得出来的。我就为L 老师解释了下面的一道题:
这一道题也被一些中国网友称为难题,但真的来讲难度却不大,主要利用不等式中的等差中项大于或等于等比中项这一定理就可轻松解出来。说着为我就随手算了下去,没有几分钟时间就将这道题解出来了。
L老师看了虽有点吃惊,但仍强辩说:“这是你老师造诣之高,我们这里无人能及,但一般师生能够解得出来吗?”
我说:“这等差中项大于或等于等比中项定理在上个世纪90年代时在本地数学教材中曾有介绍过,之后不知什么原因将之取消了。后来组织本地学生参加奥林匹克数学竞赛,在许多题目中都要用到这个定理,所以对准备参加奥数比赛的学生们曾专门辅导他们加强这一定理的学习与练习。他们大都也能胜任这方面的习题,甚至游刃有余。”
这时恰巧有学生来找L老师,该学生今年高考过关,但名字背后没有什么“尾巴”(就是没获得什么优等学科),因看到该生对数学似乎还有兴趣,L老师便准备和我做一个试验,叫我辅导这位学生学习一下,不告诉他这道中国高考题目,只辅导他学习有关定理,看他能否解得出这道题目来。
我用一个上午的时间教给这位学生有关定理,并找了几道相关题目让他练习。然后让他回家好好研习一下,第二天再来我这里演算中国的高考题目。
第二天该生与L老师准时来到我这里,我拿出这道题目让他演算。他演算了好一阵,大约花了半小时的时间,终于演算出来了。(其算式附在本文后。)
这位同学本来因为这次十年级高考一科优等都没得,连他自己认为十分有把握的数学都没得优等,故而显得有些垂头丧气。可没想到在我的稍微指点一下,居然破解了人们所说的中国高考中的一道数学难题,情绪不由得重新高昂起来,对我说道:“老师,我上不了任何专业技术Professional Line的学校,但一定要争取上数学系了。”
我则望着L老师,眼神里说出了我的话:“怎样,你还能说缅甸学生中无人能破解这道数学难题么?”
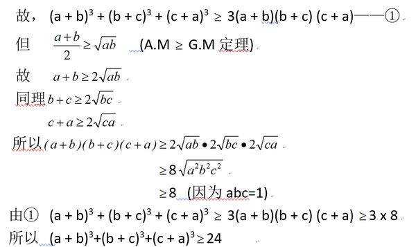
(该学生对以上习题的解法:
评论列表 共有 0 条评论
最新导读

热门文章




发表评论 取消回复